Новости, обзоры и акции
Новости, обзоры и акции
|
|
|
|
|
|
(0)
|
Вентилятор CT 400-4
Общие сведения:
Центробежные вентиляторы CT - трехфазные, легко устанавливаются и компактны, высокоэффективны и бесшумны в работе.
Свойства:
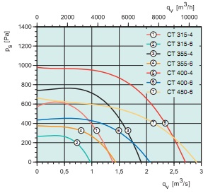
Аэродинамические характеристики

Технические характеристики CT 400-4
|
Вентилятор Systemair CT |
|
400-4 |
|
Напряжение/частота |
В/50 Гц |
400 3~ |
|
Мощность |
Вт |
4984 |
|
Ток |
A |
8,12 |
|
Макс. расход воздуха |
м3/ч |
7236 |
|
Частота вращения |
мин-1 |
1312 |
|
Макс. темп. перемещаемого воздуха, °С |
°С |
70 |
|
" при регулировании скорости |
°С |
70 |
|
Уровень звукового давления на расст 3 м |
дБ (А) |
70 |
|
Масса |
кг |
54,9 |
|
Класс изоляции двигателя |
|
F |
|
Класс защиты двигателя |
|
IP 54 |
|
Тип термозащиты |
|
STDT16 |
|
Регулирование скорости, пять ступеней |
Трансформатор |
RTRD 14 |
|
Регулирование скорости, пять ступеней, 2 режима скорости |
Трансформатор |
- |
|
|
||
|
|
||
|
|
|
|
|
|
(0)
|
|
|
|
|
|
|
(0)
|
|
|
|
|
|
|
(0)
|
|
|
|
|
|
|
(0)
|
Новости, обзоры и акции
